Case Study

Real results from a real project. See how CAFETERIA transformed the acoustics of a community gymnasium.

Featured Project

Terasaki Budokan - Los Angeles

Terasaki Budokan in Los Angeles' Little Tokyo is much more than a gymnasium: it's a center for community and myriad events that support the local population. When it opened in 2021, the visually-striking gymnasium exhibited such a long reverberation time that communication was difficult and events were unmanageably loud.

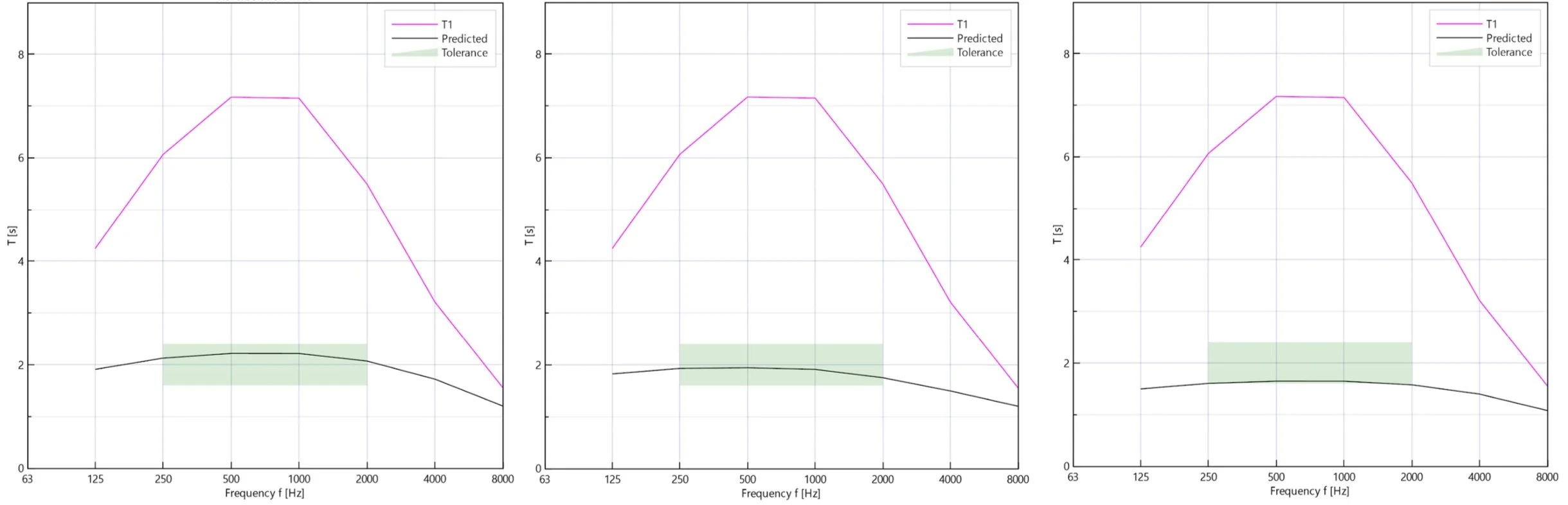
Cafeteria's five-step process found the right solution, with a spare industrial aesthetic that seamlessly integrates into the design of the space. Notably, our good, better, and best options included one without wall absorption, and Terasaki Budokan proceeded with a ceiling-only solution.

Terasaki Budokan acoustic treatment comparison
Project Terasaki Budokan
Location Los Angeles, California
Program Gymnasium and space for community
Initial Reverberation Time 7 seconds
Final Reverberation Time 2 seconds
Solution Corrugated recycled PET, ceiling-only, with airspace

The Results

The ceiling-only installation of Cafeteria's corrugated, recycled PET panels in black dramatically reduced the reverberation time from 7 seconds to 2 seconds. The airspace behind the panels added absorption performance, and the industrial aesthetic complemented the building's architectural design.

The space now functions as intended -- a place where community events, sports, and gatherings can happen comfortably, with clear speech intelligibility and manageable noise levels.

71%
Reduction in reverberation time
5sec
RT60 improvement

Let's make your space sound better, together.

Get started with a free consultation and quote for your acoustic treatment project.

Request a Quote